Styrelsens förslag - Riktad apportemission - Teckningsoptioner - Publikt avstämningsbolag 2026

Denna mall från DokuMera hjälper dig att upprätta styrelsens förslag till riktad apportemission i ett publikt avstämningsbolag.

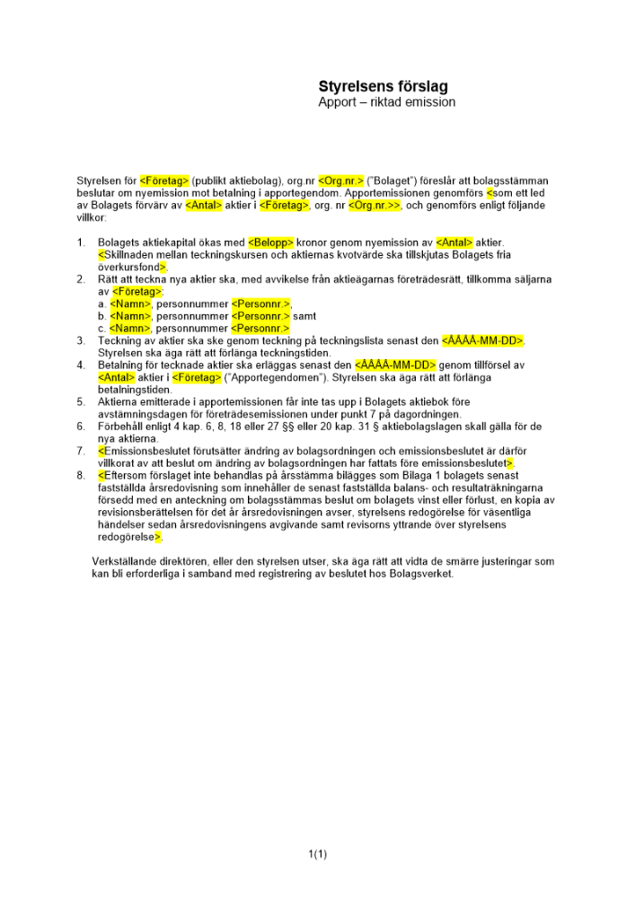
En riktad emission är riktad till en viss grupp, till exempel befintliga aktieägare. Oftast är den dock riktad till en eller flera externa placerare. Aktieägarna avstår då från sin rätt att teckna nya aktier vid en emission till förmån för någon annan eller andra, vilket bidrar till att bredda ägarbasen i bolaget. Vid apportemission tillskjuts egendom till bolaget (apportegendom) i stället för kapital, i utbyte mot aktier i bolaget.

Denna mall från DokuMera är ett förslag från styrelsen till stämman om att genomföra en riktad apportemission i ett publikt avstämningsbolag.

Specifikation

  • Styrelsens förslag - Riktad apportemission - Teckningsoptioner - Publikt avstämningsbolag 2026
  • 3840
  • 1,33
  • Svenska
  • 5
  • 1
  • docx
595 kr
Välj din plan

Med vårt abonnemang får du obegränsad tillgång till alla våra dokument och guider