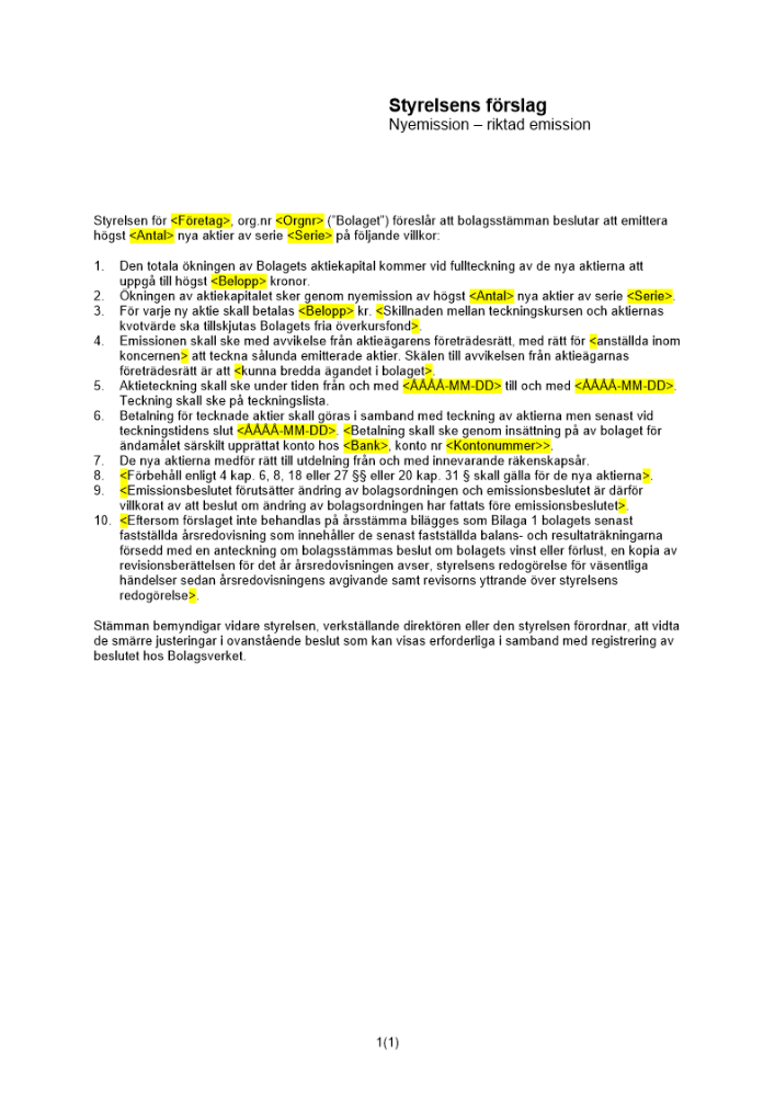
Styrelsens förslag - Riktad kontantemission - Privat ej avstämningsbolag 2026

Denna mall från DokuMera hjälper dig att upprätta styrelsens förslag till stämman om en riktad nyemission i ett privat bolag som ej är avstämningsbolag.

En riktad emission är riktad till en viss grupp, t ex befintliga aktieägare. Oftast är den dock riktad till en extern placerare. Aktieägarna avstår då från sin rätt att teckna nya aktier till förmån för någon annan eller andra.

Detta dokument är ett underlag till ett förslag från styrelsen till stämman om riktad nyemission i ett privat bolag som ej är avstämningsbolag. Den riktade emissionen i mallen finansieras genom kontantbetalning och syftar till att bredda ägandet i bolaget, men detta angivna skäl kan också modifieras om det anses lämpligt.

Mallen som DokuMera har upprättat är utförlig och låter dig snabbt upprätta förslaget som är strukturerat med hänsyn till samtliga regler som måste beaktas när denna typ av förslag läggs fram.

Specifikation

  • Styrelsens förslag - Riktad kontantemission - Privat ej avstämningsbolag 2026
  • 3818
  • 1,32
  • Svenska
  • 30
  • 1
  • docx
595 kr
Välj din plan

Med vårt abonnemang får du obegränsad tillgång till alla våra dokument och guider