Styrelsens förslag till beslut om vinst (Avstämningsbolag) 2026

Denna mall från DokuMera hjälper dig att upprätta underlag för styrelsens förslag till beslut om vinst (avstämningsbolag).

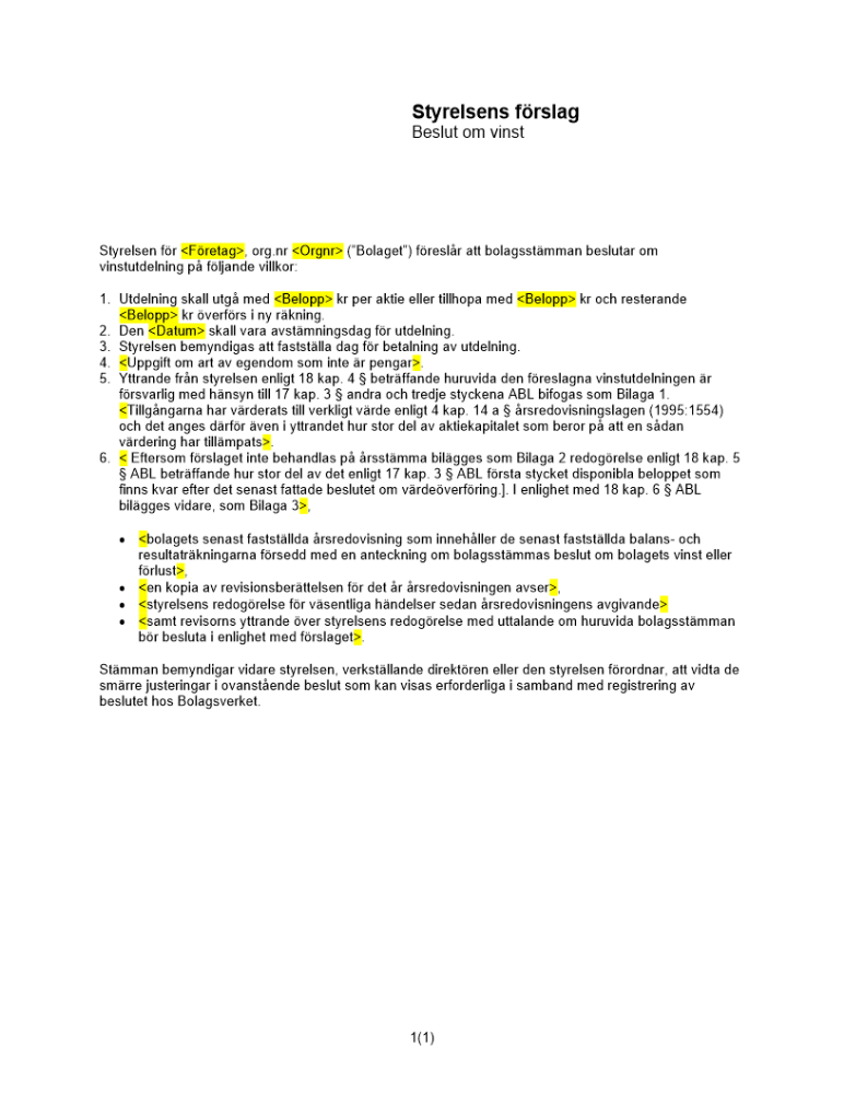
Om bolagsstämman ska pröva en fråga om vinstutdelning, ska styrelsen, eller om förslaget väcks av någon annan, förslagsställaren, upprätta ett förslag till beslut. I förslaget om vinstutdelning ska följande anges

- beloppet av den utdelning som ska belöpa på varje aktie, - avstämningsdagen, - bemyndigande för styrelsen att fastställa betalningsdag, och - om utdelningen ska avse annat än pengar, uppgift om arten av den egendom som ska delas ut.

Specifikation

  • Styrelsens förslag till beslut om vinst (Avstämningsbolag) 2026
  • 3912
  • 1,31
  • Svenska
  • 23
  • 1
  • docx
595 kr
Välj din plan

Med vårt abonnemang får du obegränsad tillgång till alla våra dokument och guider